Karnal Court Clerk Eligible Candidate List 2025: क्या आप भी आगामी 30 नवम्बर, 2025 के दिन आयोजित किए जाने वाले Karnal Court Clerk Written Exam 2025 मे बैठने वाले है और लिखित परीक्षा हेतु चयनित उम्मीदवारों के लिस्ट के जारी होने का इंतजार कर रहे है उनके लिए धमाकेदार खुशखबरी है कि, जिला अदालत करनाल द्धारा Karnal Court Clerk Eligible Candidate List 2025 को जारी कर दिया गया है जिसकी पूरी – पूरी जानकारी आपको लेख मे प्रदान करेगें।

आपको बता दें कि, जिला अदालत करनाल द्धारा बीते 17 नवम्बर, 2025 के दिन Karnal Court Clerk Eligible Candidate List 2025 को जारी कर दिया गया है और साथ ही साथ Karnal Court Clerk Exam Date Notice 2025 को जारी कर दिया गया है जिसकी पूरी जानकारी आपको लेख मे प्रदान करेगें।
आर्टिकल के अन्तिम चरण मे हम, Karnal Court Clerk Selection Process 2025 की जानकारी प्रदान करेगें ताकि आप आसानी से भर्ती परीक्षा मे हिस्सा लेने हेतु चयन प्रक्रिया मे हिस्सा ले सकें।
Karnal Court Clerk Eligible Candidate List 2025 – Highlights
| Name of the Court | District and Session Judge Karnal |
| Name of the Article | Karnal Court Clerk Eligible Candidate List 2025 |
| Type of Article | Live Updates |
| Name of the Post | Clerk |
| No of Vacancies | 63 Vacancies |
| Live Status of Karnal Court Clerk Eligible Candidate List 2025 | Released And Live To Check & Download |
| Live Status of Karnal Court Clerk Exam Date 2025 | Released And Live To Check & Download |
| Date of Karnal Court Clerk Examination 2025 | 30th November, 2025 |
| For Detailed Information | Please Read The Article Completely |
Karnal Court ने Clerk भर्ती परीक्षा हेतु Eligible Candidate List किया जारी, जाने कैसे करें लिस्ट डाउनलोड, कब होगी परीक्षा और कैसे करें लिस्ट डाउनलोड – Karnal Court Clerk Eligible Candidate List 2025?
अपने इस आर्टिकल मे हम, आप सभी अभ्यर्थियों सहित उम्मीदवारो का हार्दिक स्वागत करना चाहते है जो कि, जिला अदालत करनाल द्धारा आयोजित किए जाने वाले क्लर्क भर्ती परीक्षा 2025 मे हिस्सा लेने वाले है औऱ लिखित परीक्षा हेतु चयनित उम्मीदवारो की लिस्ट के जारी होने का इंतजार कर रहे है उन्हें हम, इस आर्टिकल की मदद से विस्तार से Karnal Court Clerk Eligible Candidate List 2025 को लेकर जारी न्यू अपडेट्स के बारे मे बतायेगें।
साथ ही साथ सभी आवेदको को बता दें कि, Karnal Court Clerk Eligible Candidate List 2025 को चेक व डाउनलोड करने के लिए आपको ऑनलाइन प्रक्रिया को अपनाते हुए चयनित उम्मीदवारो की लिस्ट को चेक व डाउनलोड करना होगा जिसकी पूरी जानकारी आपको लेख मे प्रदान करेगे जिसके लिए आपको अन्त तक इस आर्टिकल को पढ़ना होगा ताकि आप पूरी – पूरी जानकारी प्राप्त कर सकें।
आर्टिकल के अन्तिम चरण मे हम, आपको डायरेक्ट लिंक्स प्रदान करेगेें ताकि आप इसी प्रकार के आर्टिकल्स को प्राप्त करके इनका लाभ प्राप्त कर सकें।
Important Dates of Karnal Court Clerk Eligible Candidate List 2025?
| Events | Dates |
| Application Starts From | 15th July, 2025 |
| Last Date of Application | 31st July, 2025 |
| Karnal Court Clerk Eligible Candidate List 2025 Release On | 17th November, 2025 |
| Karnal Court Clerk Exam Date 2025 | 30th November, 2025 |
Mode of Selection – Karnal Court Clerk Eligible Candidate List 2025?
यहां पर हम, आपको कुछ बिंंदुओं की मदद से चयन प्रक्रिया / सेलेक्शन प्रोसेस के बारे मे बताना चाहते है जो कि, इस प्रकार से हैं –
- Written Exam,
- Skill Test,
- Document Verification और
- Medical Examination आदि।
इस प्रकार, उपरोक्त मापदंडो को पूरा करने वाले अभ्यर्थियों की अन्तिम रुप से नियुक्ति व भर्ती की जाएगी औऱ इसीलिए आपको चयन प्रक्रिया की तैयारी शुरु कर देनी चाहिए।
How To Check & Download Karnal Court Clerk Exam Date Notice 2025?
अपने – अपने एग्जाम डेट नोटिस को चेक व डाउनलोड करने के लिए आपको कुछ स्टेप्स को फॉलो करना होगा जो कि, इस प्रकार से हैं –
- Karnal Court Clerk Exam Date Notice 2025 को चेक व डाउनलोड करने के लिए सबसे पहले आपके Official Recruitment Page पर आना होगा जो कि, इस प्रकार का होगा –

- इस पेज पर आने के बाद आपको Public Notice का विकल्प मिलेगा जिस पर आपको क्लिक करना होगा,
- क्लिक करने के बाद आपके सामने इसका एग्जाम डेट नोटिस खुलकर आ जाएगा जो कि, इस प्रकार का होगा –

- अन्त, अब आप आसानी से एग्जाम डेट नोटिस को चेक व डाउनलोड करके इसका प्रिंट कर सकते है और इसका लाभ प्राप्त कर सकते है आदि।
इस प्रकार, उपरोक्त सभी स्टेप्स को फॉलो करके आप आसानी से अपने – अपने एग्जाम डेट नोटिस को चेक व डाउनलोड करके इसका प्रिंट निकाल सकते है।
How To Check & Download Karnal Court Clerk Eligible Candidate List 2025?
सभी आवेदक व उम्मीदवार जो कि, करनाल कोर्ट क्लर्क भर्ती 2025 के तहत लिखित परीक्षा हेतु चयनित उम्मीदवारों की लिस्ट को चेक व डाउनलोड करना चाहते है तो आपको कुछ स्टेप्स को फॉलो करना होगा जो कि, इस प्रकार से हैं –
- Karnal Court Clerk Eligible Candidate List 2025 को चेक व डाउनलोड करने के लिए सबसे पहले आपको Official Recruitment Page पर आना होगा जो कि, इस प्रकार का होगा –

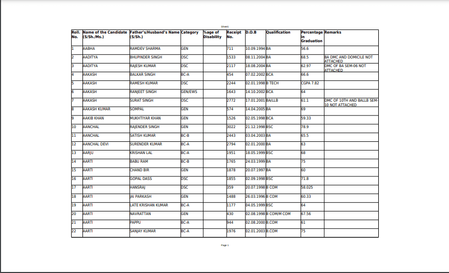
- इस रिक्रूटमेंट पेज पर आने के बाद आपको ROLL NUMBER WISE LIST OF CANDIDATES (ALPHABETICALLY) FOR THE POST OF CLERK (ON ADHOC BASIS) FOR WRITTEN EXAMINATION TO BE HELD ON 30.11.2025 का विकल्प मिलेगा जिस पर आपको क्लिक करना होगा,
- क्लिक करने के बाद आपके सामने लिखित परीक्षा हेतु चयनित उम्मीदवारो की लिस्ट खुलकर आ जाएगा जो कि, इस प्रकार से हैं –

- अन्त, अब आप इस पूरी लिस्ट को चेक व डाउनलोड करके इसका प्रिंट निकाल सकते है आदि।
इस प्रकार, उपरोक्त सभी स्टेप्स को फॉलो करके आप आसानी से चयनित उम्मीदवारों की लिस्ट को चेक व डाउनलोड करके इसका प्रिंट कर सकते है।
सारांश
इस आर्टिकल की मदद से आप सभी उम्मीदवारो सहित अभ्यर्थियों को विस्तार से ना केवल Karnal Court Clerk Eligible Candidate List 2025 के बारे मे बताया बल्कि हमने आपको विस्तार से करनाल कोर्ट क्लर्क इलीजिबिल कैंडिडेट्स लिस्ट 2025 को चेक व डाउनलोड करने की पूरी – पूरी प्रक्रिया के बारे मे बताया ताकि आप आसानी से भर्ती परीक्षा मे हिस्सा ले सकें।
आर्टिकल के अन्तिम चरण मे हम, आपसे उम्मीद करते है कि, आपको हमारा यह आर्टिकल बेहद पसंद आया होगा जिसके लिए आप हमारे इस आर्टिकल को लाईक, शेयर व कमेंट करेगें।
डायरेक्ट लिंक्स
| Direct Link To Download Karnal Court Clerk Eligible Candidate List 2025 | Download Now |
| Direct Link To Download Karnal Court Clerk Exam Date Notice 2025 | Download Now |
| Official Recruitment Page | Visit Now |
| Join Our Telegram Channel | Join Now |
| RRC South Eastern Railway Apprentice Vacancy 2025 |
Apply Now |
FAQ’s – Karnal Court Clerk Eligible Candidate List 2025
प्रश्न – क्या Karnal Court Clerk Eligible Candidate List 2025 को जारी कर दिया गया है?
उत्तर – जी हां, ” करनाल कोर्ट क्लर्क ईलीजिबिल कैंडिडेट्स लिस्ट 2025 ” को जारी कर दिया गया है जिसकी पूरी जानकारी आपको लेख मे प्रदान की जाएगी।
प्रश्न – Karnal Court Clerk Eligible Candidate List 2025 को कैसे चेक व डाउनलोड करें?
उत्तर – प्रत्येक अभ्यर्थी जो कि, Karnal Court Clerk Eligible Candidate List 2025 को चेक व डाउनलोड करना चाहते है वे ऑनलाइन मोड मे इस लिस्ट को चेक व डाउनलोड कर सकते है जिसकी पूरी विस्तृत जानकारी आपको लेख मे प्रदान की जाएगी।